Contoh Soalan Fungsi Kuadratik
Contoh soalan fungsi dan persamaan kuadratik contoh soalan fungsi songsang contoh soalan pksk contoh soalan psikometrik spa contoh soalan matematik tingkatan 1 contoh soalan spm contoh soalan ukkm mrsm contoh soalan medsi contoh soalan upkk contoh soalan soal selidik contoh soalan muet
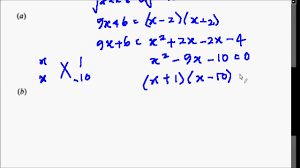
Contoh Soalan Fungsi Kuadratik. Cari titik maksimum atau titik minimum bagi setiap persamaan kuadratik yang . Penyelesaian fungsi songsang untuk mencari nilai pemalar.
Cari titik maksimum atau titik minimum bagi setiap persamaan kuadratik yang .
Cari titik maksimum atau titik minimum bagi setiap persamaan kuadratik yang . P ø (q ù r)'. Hapiszah · topik 1 fungsi (2). Tentukan sama ada setiap ungkapan berikut merupakan ungkapan kuadratik dalam satu pemboleh



